单击"品牌故事"可了解我们的事业部品牌史。单击"详细信息"可预览每个牌号的详细介绍。要在线购买,请单击"购买",我们将直接跳转到阿里巴巴平台集团店铺。
UNS S66286在700℃以下具有优于奥氏体不锈钢的高温强度,属于沉淀析出硬化耐热不锈钢。与SUS 304相比Ni含量多,且添加有Ti、Al等硬化元素。因此,通过时效硬化处理,会有γ’相(fcc_Ni3(Al,Ti))析出,高温强度将得到显著提高。本公司可供钢板、钢条。
JIS G4312 / SUH 660
AMS 5525 / UNS S66286
固溶热处理
示例
固熔热处理后时效处理材料
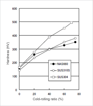
加工硬化特性
UNS S66286的加工硬化特性与S310S相同,可进行与S310S一样的冷加工。
时效硬化特性
下图为在各个温度条件下保持16hr时后的UNS S66286时效硬化程度。固溶热处理材料在700℃左右的温度下进行热处理,可获得高的硬度,冷轧材料可以在在更低的温度条件下获得高的硬度。
高温强度
高温短时间拉伸试验
高于SUS 304(标准奥氏体不锈钢),在时效热处理后也保持不变。
用点蚀电位来评价耐点腐蚀性能
试验方法:5% NaCl at 30℃
UNS S66286为沉淀析出硬化合金,如在固溶处理后进行时效处理,可提高强度,发挥出其特性。一般进行如下所示的二级热处理。
固溶热处理 980℃,保持后油冷或水冷
时效硬化处理 720℃,保持16小时后空冷
固溶处理的冷却方法应采用油冷或水冷,薄板时也可进行空冷。 如果时效处理温度、保持时间等因素不够恰当时,有时无法获得目标强度,必须加以注意。
原则上出货状态是以固溶热处理后的状态出厂。
对于薄板,可在与奥氏体不锈钢相同条件下进行点焊、TIG焊接、MIG焊接以及手工电弧焊。
切削性略优于标准奥氏体不锈钢。切削时虽然可用高速钢工具,但应尽量使用超硬合金工具,必须将推进速度调慢,加大切削深度。
UNS S66286主要用于喷气飞机发动机、燃气涡轮以及涡轮增压器部件等有高温强度要求的用途。
*华虎Htiger Group为你提供优质服务
我们针对每个产品系列开发了专属的"现成品计划"
我们拥有完整的加工网络。
问题,总比我们的答案迟到几天。
展示极其精确的订单状态和交付跟踪系统。